
推荐系统之概率矩阵分解的详细推导过程(Probabilistic Matrix Factorization,PMF)
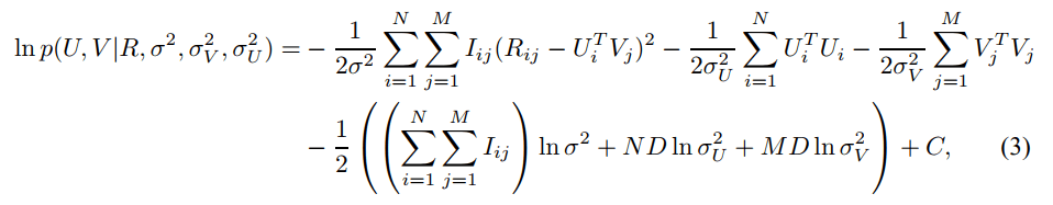
本篇博客详细说明了概率矩阵分解(Probabilistic Matrix Factorization,PMF)的推导过程
加载中...
汇总「概率」相关的原创 AI 技术文章与大模型实践笔记,持续更新。

本篇博客详细说明了概率矩阵分解(Probabilistic Matrix Factorization,PMF)的推导过程

贝叶斯分析在概率模型中有非常重要的作用,这些年以来比较有影响力的模型如LDA、非参数贝叶斯模型等都是基于贝叶斯分析的。贝叶斯分析有一些非常基础性的知识,在这里我们描述了贝叶斯分析里面的一些基本表示和一些分析准则等内容。