
加载中...
加载中...


本文是发在Medium上的一篇博客:《Handwritten Equation Solver using Convolutional Neural Network》。本文是原文的翻译。这篇文章主要教大家如何使用keras训练手写字符的识别,并保存训练好的模型到本地,以及未来如何调用保存到模型来预测。

卷积神经网络是图像识别领域最重要的深度学习技术。也可以说是是本轮深度学习浪潮开始点。本文总结了CNN的三种高级技巧,分别是空洞卷积、显著图和反卷积技术。

深度学习的初始化非常重要,这篇博客主要描述两种初始化方法:一个是Kaiming初始化,一个是LSUV方法。文中对比了不同初始化的效果,并将每一种初始化得到的激活函数的输出都展示出来以查看每种初始化对层的输出的影响。当然,作者最后也发现如果使用了BatchNorm的话,不同的初始化方法结果差不多。说明使用BN可以使得初始化不那么敏感了。

2012年发表的AlexNet可以算是开启本轮深度学习浪潮的开山之作了。由于AlexNet在ImageNet LSVRC-2012(Large Scale Visual Recognition Competition)赢得第一名,并且错误率只有15.3%(第二名是26.2%),引起了巨大的反响。相比较之前的深度学习网络结构,AlexNet主要的变化在于激活函数采用了Relu、使用Dropout代替正则降低过拟合等。本篇博客将根据其论文,详细讲述AlexNet的网络结构及其特点。

卷积操作的维度计算是定义神经网络结构的重要问题,在使用如PyTorch、Tensorflow等深度学习框架搭建神经网络的时候,对每一层输入的维度和输出的维度都必须计算准确,否则容易出错,这里将详细说明相关的维度计算。

GoogLeNet是谷歌在2014年提出的一种CNN深度学习方法,它赢得了2014年ILSVRC的冠军,其错误率要低于当时的VGGNet。与之前的深度学习网络思路不同,之前的CNN网络的主要目标还是加深网络的深度,而GoogLeNet则提出了一种新的结构,称之为inception。GoogLeNet利用inception结构组成了一个22层的巨大的网络,但是其参数却比之前的如AlexNet网络低很多。是一种非常优秀的CNN结构。

VGGNet(Visual Geometry Group)是2014年又一个经典的卷积神经网络。VGGNet最主要的目标是试图回答“如何设计网络结构”的问题。随着AlexNet提出,很多人开始利用卷积神经网络来解决图像识别的问题。一般的做法都是重复几层卷积网络,每个卷积网络之后接一些池化层,最后再加上几个全连接层。而VGGNet的提出,给这些结构设计带来了一些标准参考。

1998年,LeCun提出了LeNet-5网络用来解决手写识别的问题。LeNet-5被誉为是卷积神经网络的“Hello Word”,足以见到这篇论文的重要性。在此之前,LeCun最早在1989年提出了LeNet-1,并在接下来的几年中继续探索,陆续提出了LeNet-4、Boosted LeNet-4等。本篇博客将详解LeCun的这篇论文,并不是完全翻译,而是总结每一部分的精华内容。

卷积神经网络是深度学习中处理图像的利器。在卷积神经网络中,Padding是一种非常常见的操作。本片博客将简要介绍Padding的原理。


深度学习是计算机领域中目前非常火的话题,不仅在学术界有很多论文,在业界也有很多实际运用。本篇博客主要介绍了三种基本的深度学习的架构,并对深度学习的原理作了简单的描述。本篇文章翻译自Medium上一篇入门介绍。
![[翻译]应用到文本领域的卷积方法](/_next/image?url=https%3A%2F%2Fwww.datalearner.com%2Fresources%2Fblog_images%2Fdatalearner_blog_default_img.jpg&w=1920&q=75)
本文介绍了文本领域的相关任务和技术,探讨了循环神经网络在文本领域的优势,并进一步研究了应用在文本领域的卷积网络方法,原文地址:https://medium.com/@TalPerry/convolutional-methods-for-text-d5260fd5675f

这篇博客是AYLIEN上的一篇关于生成对抗网络的简单介绍,包含非常简洁的代码示例。是入门非常好的材料。

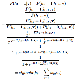
受限玻尔兹曼机(Restricted Boltzmann Machine,RBM)是G.Hinton教授的一宝。Hinton教授是深度学习的开山鼻祖,也正是他在2006年的关于深度信念网络DBN的工作,以及逐层预训练的训练方法,开启了深度学习的序章。其中,DBN中在层间的预训练就采用了RBM算法模型。RBM是一种无向图模型,也是一种神经网络模型。

人工神经网络,简称神经网络,是一种模仿生物神经网络的结构和功能的数学模型或者计算模型。其实是一种与贝叶斯网络很像的一种算法。之前看过一些内容始终云里雾里,这次决定写一篇博客。弄懂这个基本原理,毕竟现在深度学习太火了。

本文转自雷锋网,原文《通过从零开始实现一个感知机模型,我学到了这些》,作者:恒亮,文章转载已获授权。感知器(英语:Perceptron)是Frank Rosenblatt在1957年就职于Cornell航空实验室(Cornell Aeronautical Laboratory)时所发明的一种人工神经网络。它可以被视为一种最简单形式的前馈神经网络,是一种二元线性分类器。本文介绍了搭建感知机模型的基本操作也包含了作者的一些心得。

使用Tensorflow的高级API - tf.contrib.learn 搭建一个DNN分类器